时间:2021-03-20 | 标签: | 作者:Q8 | 来源:网络
小提示:您能找到这篇{货币贬值影响 苹果将调整7个地区App价格}绝对不是偶然,我们能帮您找到潜在客户,解决您的困扰。如果您对本页介绍的货币贬值影响 苹果将调整7个地区App价格内容感兴趣,有相关需求意向欢迎拨打我们的服务热线,或留言咨询,我们将第一时间联系您! |
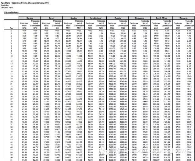
近日,苹果向开发者发出通知,由于汇率的大幅变动,未来三天内苹果公司将上调加拿大、俄罗斯、新西兰、以色列、墨西哥、新加坡及南非等地的App Store内商品的售价,包括应用、应用内购等内容。
本次App Store价格调整同样与上述七个地区的货币贬值(相对美元)有关,但调整幅度不大,加拿大原价1.29的应用会上涨至1.39,新加坡的价格将从1.28元增加至1.48元。根据苹果公司近日在网上公布的价格表显示,苹果官方应用商店的付费应用程序价格将从一个价格层起,比原先的价格层多出0.20元。 苹果发布了一份P小红书入驻资质DF文档详细列出了调整后的价格梯度:
苹果将会以邮件形式通知加拿大、新西兰行业营销推广、墨西哥和新加坡购买内购订阅(in-app subscriptions)的用户此次价格调整,并且提供取消订阅的选项;而俄罗斯和南非的App Store用户如果需要续订内购订阅,则需要手动进行(默认不续订);由于在以色列苹果并不提供自动续订功能,故用户不受影响。 此前,为抵消外汇汇率的变化,苹果已经数次调整了App Store和iTunes零售价,不过所幸的是中国区并没有受到价格调整影响。
|
上一篇:英国推出游戏伦敦项目 获120万英镑投资和政府支
下一篇:2015年日本手游市场规模418亿元,手游发行市场增

小提示:您应该对本页介绍的“货币贬值影响 苹果将调整7个地区App价格”相关内容感兴趣,若您有相关需求欢迎拨打我们的服务热线或留言咨询,我们尽快与您联系沟通货币贬值影响 苹果将调整7个地区App价格的相关事宜。
关键词: